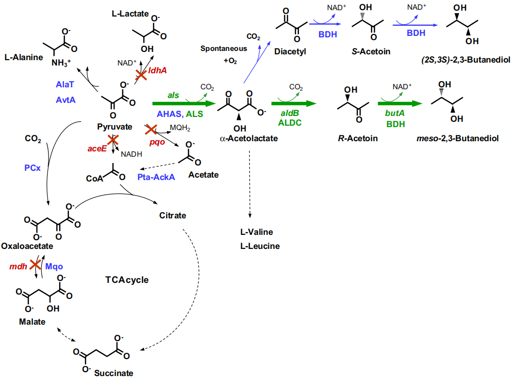
为了构建控制菌株C.glutamicum∆ldhA,使用引物对ldhA(cg3219)基因进行缺失。根乳双歧杆菌MG1363的染色体DNA用作PCR扩增的模板。在第一步克隆中,使用引物对从乳双歧杆菌染色体中扩增出α-乙酰乳酸合酶基因(als),并将其克隆到质粒pEKEx2中。在第二步中,使用引物扩增编码乳双歧杆菌α-乙酰乳酸脱羧酶(aldB)和2,3-丁二醇脱氢酶(butA)的基因,连接并随后插入pEKEx2-als中,得到pEKEx2-las、aldB、butA。合成了与tuf基因(Ptuf)上游185 bp区域融合的基因butA。在大肠杆菌DH5α中扩增含有Ptuf-butA融合物的质粒pUC57,并用BamHI和KpnI限制其表达。从琼脂糖凝胶中纯化Ptuf-butA片段并将其连接到aldB上,然后将联合DNA片段插入pEKEx2-als中,得到pEKEx2-las、aldB、PtufbutA。获得质粒并将其保存在大肠杆菌DH5α中。

参考文献:Radoš D, Carvalho AL, Wieschalka S, Neves AR, Blombach B, Eikmanns BJ, Santos H. Engineering Corynebacterium glutamicum for the production of 2,3-butanediol. Microb Cell Fact. 2015 Oct 29;14:171.
为了构建控制菌株C.glutamicum∆ldhA,使用引物对ldhA(cg3219)基因进行缺失。根乳双歧杆菌MG1363的染色体DNA用作PCR扩增的模板。在第一步克隆中,使用引物对从乳双歧杆菌染色体中扩增出α-乙酰乳酸合酶基因(als),并将其克隆到质粒pEKEx2中。在第二步中,使用引物扩增编码乳双歧杆菌α-乙酰乳酸脱羧酶(aldB)和2,3-丁二醇脱氢酶(butA)的基因,连接并随后插入pEKEx2-als中,得到pEKEx2-las、aldB、butA。合成了与tuf基因(Ptuf)上游185 bp区域融合的基因butA。在大肠杆菌DH5α中扩增含有Ptuf-butA融合物的质粒pUC57,并用BamHI和KpnI限制其表达。从琼脂糖凝胶中纯化Ptuf-butA片段并将其连接到aldB上,然后将联合DNA片段插入pEKEx2-als中,得到pEKEx2-las、aldB、PtufbutA。获得质粒并将其保存在大肠杆菌DH5α中。

参考文献:Radoš D, Carvalho AL, Wieschalka S, Neves AR, Blombach B, Eikmanns BJ, Santos H. Engineering Corynebacterium glutamicum for the production of 2,3-butanediol. Microb Cell Fact. 2015 Oct 29;14:171.