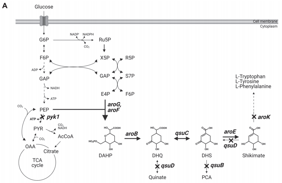
对于无标记靶基因破坏,使用pK19mobsacB,构建pCaroE、pEroE、pEC、pECB、pECBF和pECBFG质粒,用于基因过表达,受sod启动子控制。来自通过PCR扩增谷氨酸棒状杆菌和大肠杆菌基因组得到aroE基因,并使用In-Fusion克隆试剂盒将其插入pSK003中,分别产生pCaroE和pEuroE。将qsuC、aroB基因分别克隆到pEroE中,以产生pEC和pECB。采用三向PCR方法对谷氨酸棒杆菌的aroF基因和大肠杆菌的aroG基因进行定点突变,将aroFS188C片段和EaroGS180F依次插入pECB,得到pECBF和pECBFG。

参考文献:Park E, Kim HJ, Seo SY, Lee HN, Choi SS, Lee SJ, Kim ES. Shikimate Metabolic Pathway Engineering in Corynebacterium glutamicum. J Microbiol Biotechnol. 2021 Sep 28;31(9):1305-1310.
对于无标记靶基因破坏,使用pK19mobsacB,构建pCaroE、pEroE、pEC、pECB、pECBF和pECBFG质粒,用于基因过表达,受sod启动子控制。来自通过PCR扩增谷氨酸棒状杆菌和大肠杆菌基因组得到aroE基因,并使用In-Fusion克隆试剂盒将其插入pSK003中,分别产生pCaroE和pEuroE。将qsuC、aroB基因分别克隆到pEroE中,以产生pEC和pECB。采用三向PCR方法对谷氨酸棒杆菌的aroF基因和大肠杆菌的aroG基因进行定点突变,将aroFS188C片段和EaroGS180F依次插入pECB,得到pECBF和pECBFG。

参考文献:Park E, Kim HJ, Seo SY, Lee HN, Choi SS, Lee SJ, Kim ES. Shikimate Metabolic Pathway Engineering in Corynebacterium glutamicum. J Microbiol Biotechnol. 2021 Sep 28;31(9):1305-1310.