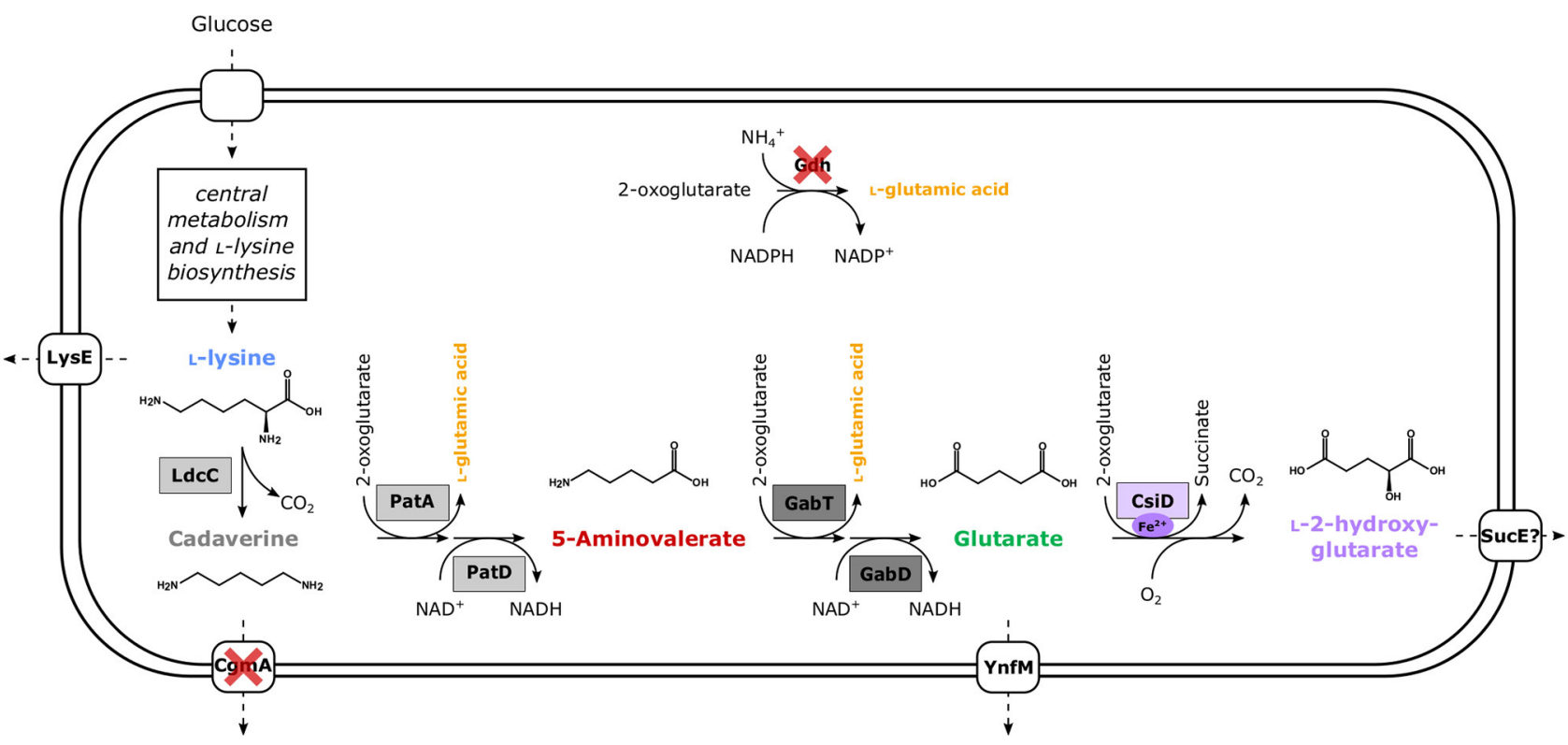
来自嗜盐芽孢杆菌BA-2008的基因csiD是密码子优化过的。使用质粒或基因组DNA作为模板,用ALLin HiFi DNA聚合酶扩增DNA序列。ldcC基因是从载体pVWEx1-ldcC中扩增出来的,而不同的csiD基因是从相应生物体的基因组DNA中扩增出来,并使用相应的引物通过Gibson Assembly组装到BamHI消化的pVWEx1中。通过转化将构建的质粒转移到谷氨酸梭菌中。对于缺失,用BamHI消化的质粒pK19mobsacB使用Gibson Assembly与sucE基因侧翼的扩增DNA片段(cg2425)组装,并转移到大肠杆菌S17-1中。为了用更强的tuf启动子替换天然启动子,从谷氨酸棒杆菌的基因组DNA中扩增tuf启动因子和sucE启动子的侧翼区域,并与消化的质粒pK19mobsacB组装。为了获得更高的表达率,sucE的起始密码子从GTG改为ATG,并包括一个优化的核糖体结合位点(RBS)。

参考文献:Prell C, Burgardt A, Meyer F, Wendisch VF. Fermentative Production of l-2-Hydroxyglutarate by Engineered Corynebacterium glutamicum via Pathway Extension of l-Lysine Biosynthesis. Front Bioeng Biotechnol. 2021 Jan 27;8:630476.
来自嗜盐芽孢杆菌BA-2008的基因csiD是密码子优化过的。使用质粒或基因组DNA作为模板,用ALLin HiFi DNA聚合酶扩增DNA序列。ldcC基因是从载体pVWEx1-ldcC中扩增出来的,而不同的csiD基因是从相应生物体的基因组DNA中扩增出来,并使用相应的引物通过Gibson Assembly组装到BamHI消化的pVWEx1中。通过转化将构建的质粒转移到谷氨酸梭菌中。对于缺失,用BamHI消化的质粒pK19mobsacB使用Gibson Assembly与sucE基因侧翼的扩增DNA片段(cg2425)组装,并转移到大肠杆菌S17-1中。为了用更强的tuf启动子替换天然启动子,从谷氨酸棒杆菌的基因组DNA中扩增tuf启动因子和sucE启动子的侧翼区域,并与消化的质粒pK19mobsacB组装。为了获得更高的表达率,sucE的起始密码子从GTG改为ATG,并包括一个优化的核糖体结合位点(RBS)。

参考文献:Prell C, Burgardt A, Meyer F, Wendisch VF. Fermentative Production of l-2-Hydroxyglutarate by Engineered Corynebacterium glutamicum via Pathway Extension of l-Lysine Biosynthesis. Front Bioeng Biotechnol. 2021 Jan 27;8:630476.