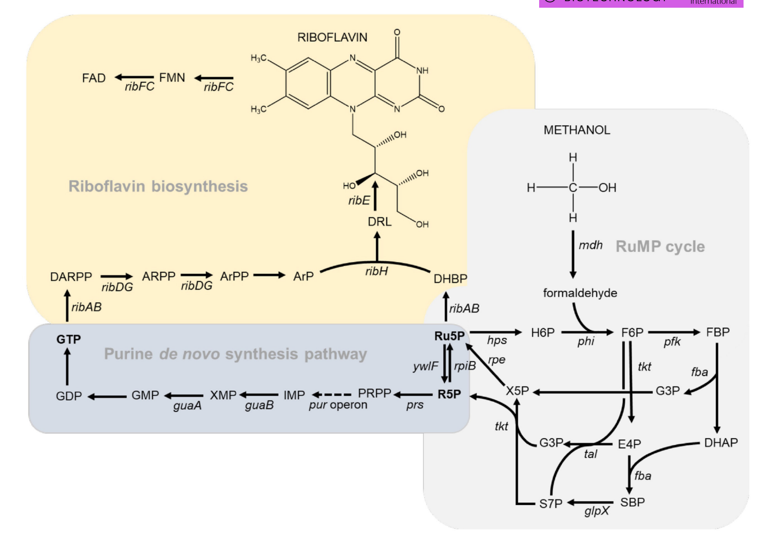
从甲醇芽孢杆菌基因组DNA中PCR扩增出prs、guaAB或tkt和rpe基因。使用CloneAmp HiFi PCR预混物(Takara)扩增PCR产物,并使用Qiagen的QIAquick PCR纯化试剂盒进行纯化。通过等温DNA组装,将PCR扩增的rib操纵子与消化的pBV2xp(用SacI和BamHI切割)连接,并将PCR扩增基因prs、guaAB或tkt和rpe引入消化的pTH1mp载体(用XbaI和BamHI剪切)。结果,创建了质粒pBV2xp-ribBl、pBV2xp-ribBm、pBV2xp-ribBs、pTH1mp-rpe-tkt和pTH1mp-prs-guaAB。载体pUB110Sxp是分多步构建的。首先,用XbaI和PstI消化pUB110Smp以去除mdh启动子。然后插入木糖诱导型启动子来交换启动子,该启动子之前使用引物XP1和XP2从pBV2xp质粒中PCR扩增。使用相同的DNA组装方法将消化的pUB110Sxp质粒(用SacI和BamHI切割)和来源于地衣芽孢杆菌的肋骨操纵子连接起来,形成质粒pUB110Skp-ribBl。为了创建质粒pUB110Sxp-ribBs,用限制性内切酶PstI和NdeI切割空载体pUB100Smp,以去除mdh启动子,然后将空载体与pBV2xp-ribBs质粒的PCR扩增片段组装在一起,该片段包含木糖诱导型启动子及其调节因子。所有等温DNA组装后,热休克转化进大肠杆菌DH5α。

参考文献:Klein VJ, Brito LF, Perez-Garcia F, Brautaset T, Irla M. Metabolic engineering of thermophilic Bacillus methanolicus for riboflavin overproduction from methanol. Microb Biotechnol. 2023 May;16(5):1011-1026.
从甲醇芽孢杆菌基因组DNA中PCR扩增出prs、guaAB或tkt和rpe基因。使用CloneAmp HiFi PCR预混物(Takara)扩增PCR产物,并使用Qiagen的QIAquick PCR纯化试剂盒进行纯化。通过等温DNA组装,将PCR扩增的rib操纵子与消化的pBV2xp(用SacI和BamHI切割)连接,并将PCR扩增基因prs、guaAB或tkt和rpe引入消化的pTH1mp载体(用XbaI和BamHI剪切)。结果,创建了质粒pBV2xp-ribBl、pBV2xp-ribBm、pBV2xp-ribBs、pTH1mp-rpe-tkt和pTH1mp-prs-guaAB。载体pUB110Sxp是分多步构建的。首先,用XbaI和PstI消化pUB110Smp以去除mdh启动子。然后插入木糖诱导型启动子来交换启动子,该启动子之前使用引物XP1和XP2从pBV2xp质粒中PCR扩增。使用相同的DNA组装方法将消化的pUB110Sxp质粒(用SacI和BamHI切割)和来源于地衣芽孢杆菌的肋骨操纵子连接起来,形成质粒pUB110Skp-ribBl。为了创建质粒pUB110Sxp-ribBs,用限制性内切酶PstI和NdeI切割空载体pUB100Smp,以去除mdh启动子,然后将空载体与pBV2xp-ribBs质粒的PCR扩增片段组装在一起,该片段包含木糖诱导型启动子及其调节因子。所有等温DNA组装后,热休克转化进大肠杆菌DH5α。

参考文献:Klein VJ, Brito LF, Perez-Garcia F, Brautaset T, Irla M. Metabolic engineering of thermophilic Bacillus methanolicus for riboflavin overproduction from methanol. Microb Biotechnol. 2023 May;16(5):1011-1026.